تست ضخامت فیلم گریس بین ساچمه و رینگ بلبرینگ ها
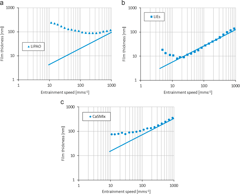
برای کمک به تفسیر نتایج اصطکاک ، ضخامت فیلم گریس در محدوده سرعت یکسانی اندازه گیری شد. نتایج ضخامت فیلم برای (a) LiPAO ، (b) LiEs و (c) گریس های CaSMix در شکل زیر به عنوان نمونه از تمام اندازه گیری های فیلم گریس بین ساچمه و رینگ بلبرینگ انجام شده نشان داده شده است. برای مقایسه ، مقادیر نظری ضخامت فیلم برای همه روغن های پایه مربوطه نیز نشان داده شده است. یک فیلم ضخیم تر با سرعت پایین ، در مقایسه با روغن های پایه ، برای همه گریس ها مشاهده شد ، اما تفاوت های مهمی در رفتار مشهود است. LiPAO با وجود کمترین ویسکوزیته روغن پایه ، بیشترین ضخامت فیلم را در بین همه گریس های آزمایش نشان می دهد. بیشترین ضخامت فیلم را در کمترین سرعت 10 میلی متر در 1 دارد ، جایی که بیش از 5000 درصد بیشتر از روغن پایه مربوطه است. با افزایش سرعت ، فیلم کاهش می یابد و حداقل آن با سرعتی در حدود 300 میلی متر بر ثانیه به دست می آید ، پس از آن ضخامت فیلم دوباره شروع به افزایش می کند. ضخامت فیلم LiPAO در تمام محدوده سرعت آزمایش شده در اینجا بیشتر از روغن پایه آن است. ضخامت لایه گریس LiEs در همه سرعتها بسیار کمتر از گریس LiPAO است. روندهای کلی یکسان است ، با ضخامت لایه گریس LiEs بسیار بیشتر از روغن پایه آن در سرعتهای پایین و به تدریج با افزایش سرعت کاهش می یابد. با این حال ، در LiEs سرعت انتقال به رفتار EHL مانند که ممکن است از روغن پایه آن به تنهایی انتظار می رود ، در حال حاضر در حدود 10 میلی متر در 1 رسیده است. این ضخامت فیلم گریس "V" در برابر منحنی سرعت در مطالعات گریس قبلی مشاهده شده است [27] ، [23]. بر خلاف گریس های حاوی لیتیوم ، ضخامت فیلم CaSMix رفتار "شکل V" را نشان نمی دهد. در عوض ، ضخامت فیلم آن به طور مداوم با سرعت در محدوده سرعت آزمایش افزایش می یابد. رفتار مشابهی با سایر گریس های پیچیده سولفونات کلسیم ، CaSMi ، که در اینجا آزمایش شده بود ، مشاهده شد. بار دیگر ضخامت لایه گریس بیشتر از آن چیزی است که از روغن پایه مربوطه در محدوده سرعت پایین انتظار می رود ، زیر 200 میلی متر در − 1.
